How we can predict user complaints for mobile access networks using data

22 May 2020
Zheng Meng
Hitachi (China) Research & Development Corporation
Geng Lu
Hitachi (China) Research & Development Corporation

Besides providing diverse, high bandwidth and low latency services to the surging mobile users, how to reduce the user complaints is also considered by mobile operators as an important factor to improve the user's QoE (Quality of Experience). If the abnormal malfunctioning network equipment can be automatically identified and optimized in advance, the occurrence of complaints can be mitigated, which can greatly improve the user’ QoE. We propose the Platform for Advanced Network Data Analytics (PANDA), which can predict the burst of user complaint events in a fine-grained spatial area within a specific time window.

The Diagram of the proposed complaint prediction system is illustrated in Figure 1.

Figure 1: Diagram of the proposed complaint prediction system

The input data to the system include network-monitoring data and user complaint data. It is necessary to analyze the correlation between them to select the abnormal indicators that have a high probability of being related to the complaint. These selected indicators can be used to establish the model to predict the occurrence of complaints. Before entering a machine learning pipeline, these datasets need to be specially treated with our designed methods including a fuzzy spatial gridding method to combat the inaccuracy in complaint location, filtering complaint burst events to avoid the noise in raw complaint time series, shown in the top-most sub-figure in Fig. 2, and a multi-scale time windowing method to distill temporal features. The prepared data is finally presented in fine matrix form to the ML-pipeline for either offline training or online prediction. The pipeline contains steps for standardization, class resampling, dimensionality reduction as well as a classifier.

Figure 2: Hourly-average time series of user complaints (top), complaint bursts (second), and 10 BS performance indicators (rest) in a typical 3-base-station spatial grid

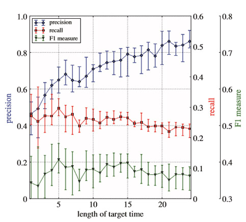
The proposed system is evaluated using real data collected from a major Chinese mobile network operator, where complaint burst events account for only about 0.3% of all recorded events. We find some interesting points. For example, the system performance increases steadily and significantly with the length of target time window, as shown in Fig. 3. A longer time window also makes the system overly pessimistic, it is more practical to set the target time window to a reasonably small length, e.g., 15 hours. Additionally, because burst complaint prediction is an unbalanced classification problem, in the actual deployment, it is necessary to adjust the parameter configuration of the prediction model according to the actual needs, such as the cost of false alarm and the cost of the miss alarm. Fig. 4 shows the precision and recall value as we increase the ratio between the number of positive and negative samples after resampling.

Figure 3: Precision and recall values under target time windows with different lengths Figure 4: Effect of positive and negative event sampling ratio on prediction accuracy

Evaluation Results show that our proposed system can detect 30% of events in complaint bursts three hours ahead with more than 80% precision. This will realize a corresponding degree of QoE improvement if all detected complaint events can be mitigated in advance by employing proper network maintenance.

Conclusion

As the typical application of data mining technology in the telecommunication industry, this project focuses on studying the relationship between user complaints and various mobile access network monitoring data, and attempts to use these data to predict "burst" user complaints that have a greater impact on the network. Operators can deploy our system inside their network management system, and predict whether there will be burst complaints within a period of time. If so, the daily O&M work orders will be generated for the most likely reasons, and the risk of burst complaints will be eliminated in advance.

In addition, this technology can be applied for many other similar issues that attempt to use one of two interrelated datasets to predict trend of the other dataset. As future work, we aim to identify more suitable scenes to which our proposed system can be applied.

For more details, we encourage you to read our paper, “Data-Driven User Complaint Prediction for Mobile Access Networks”.